Производство пеллет из опилок. Технология производства пеллет из опилок
Производство пеллет из опилок. Технология производства пеллет из опилок
Для того, чтобы мелкие древесные частицы успешно спрессовались в гранулу, необходимо соблюсти несколько условий:
Опил нужно качественно измельчать – до однородной фракции длиной до 3 мм.
Сырье должно иметь степень влажности от 12 до 14% . Опилки с содержанием влаги более 15% мало пригодны для получения гранулы. Для удаления лишней влаги сырье сушат в барабанной установке.
Прессование должно проходить при высокой температуре и давлении. Это необходимо для выделения лигинина – естественного связывающего вещества, которое содержится в древесине. Наилучшие условия создает промышленный гранулятор.
После выхода из прессовочной камеры раскаленные гранулы требуют принудительного охлаждения.
Топливные гранулы высокого качества имеют лоснящуюся гладкую поверхность с минимумом трещин, их трудно раскрошить или сломать. Такие пеллеты лучше переносят транспортировку до конечного потребителя.

Гранулирование опилок и стружки имеет ряд преимуществ:
Это материал с мелкой фракцией, поэтому в технологической линии не требуется рубительная машина для измельчения крупных кусков древесины. Это экономит средства заводчику.
Стружка и опил, получаемые при производстве погонажных изделий, клееного бруса и других изделий, проходящих через сушильные камеры, имеют уровень влажности 12-14 %, поэтому на линии не требуется дорогостоящий сушильный комплекс .
Обычно такой материал содержит меньше чужеродных примесей (песок, земля, кора), поэтому готовые гранулы отличаются низкой зольностью, а значит, они выше качеством.
Производство пеллет в гараже. Можно ли изготавливать пеллеты дома
Идея наладить производство пеллет в домашних условиях часто приходит в голову людям, имеющим доступ к дешевым или дармовым отходам древесного производства, а также сельским труженикам, получающим побочные продукты основной деятельности. Теоретически, конечно, возможно все, однако следует учитывать многочисленные трудности, подстерегающие на этом пути.
Изготовление пеллет в домашних условиях (или в гараже) возможно только при наличии специальной оснастки. Отечественные и зарубежные промышленные предприятия ориентированы на средний, малый и даже микробизнес, то есть на выпуск оборудования производительностью в сотни килограммов в час. Совсем «карманные» установки, как правило, изготавливаются в КНР, но по своей долговечности оставляют желать лучшего и стоят к тому же дорого.
В некоторых источниках есть информация о том, как сделать небольшой станок для изготовления пеллет своими руками. На прилагаемом
Самодельное оборудование
Первое, на что следует обратить внимание – это матрица. Она выполняется по строгим технологическим регламентам, предусматривающим закалку с целью достижения нормативной твердости по Бринеллю (об этом уже написано выше). К тому же каждое отверстие должно иметь форму усеченного конуса на сужение к выходу, иначе сцепления молекул в грануле добиться невозможно.
Матрицу можно позаимствовать у оборудования для производства гранулированных комбикормов – там принцип тот же. Но дело в том, что практически каждая деталь установки должна быть тщательно подогнана и характеризоваться высоким квалитетом.
Оборудование для производства пеллет из опилок. Расчет затрат на оборудование для производства пеллет
Оборудование для производства пеллет делится на два класса – мини-грануляторы и линии промышленного типа. В свою очередь первый класс – мини-грануляторы – подразделяется на пресс-грануляторы с электродвигателем, пресс-грануляторы с дизельным двигателем и пресс-грануляторы с приводом от вала отбора мощности трактора. Преимущества каждого класса очевидны и определяются условиями эксплуатации оборудования.
Например, установка с электродвигателем предполагает большую или меньшую стационарность, установка с дизельным двигателем мобильна – она может перевозиться, например, на 3-тонном грузовике и функционировать непосредственно в местах сбора отходов (лесопилки, мебельные и т.п. предприятия). Третий же вариант предназначен для владельцев собственного трактора и представляет собой некую комбинацию второго варианта без наличия грузового автомобиля. Ниже приведена сравнительная таблица цен и производительности оборудования разной мощности (цены и характеристики).

Как видно, выбор вариантов компактных мини-грануляторов достаточно широк и сводится лишь к расчетам обеспеченности сырьем. Если же вычислять по средней позиции - производительности 200-250 кг/ч, то безусловным лидером в данном случае являются, конечно, пресс-грануляторы с приводом от вала отбора мощности трактора.
Это что касается именно мини-фабрик. Если же брать более серьезные линии - с полным набором аппаратуры, т.е. состоящие из участков дробления, сушки, гранулирования, охлаждения и фасовки, то здесь можно назвать цифры в $132000 за линию производственной мощностью 700-1000 кг/час и $196000 за линию производительностью 2000 кг/час. Линия по производству пеллет производительностью 4500 кг/час обойдется в $408000.
Расчет доходности мини-фабрик и полных производственных линий при производстве пеллет
Для приблизительного расчета доходности каждого из вариантов по позициям следует определиться с постоянными (статичными) показателями. Рабочий день будет считаться равным 8 часам (при этом расчетное время работы оборудования равно количеству рабочих часов), рабочий месяц - 24 дням, за вычетом выходных и праздничных дней и с учетом 1-2 дней простоя при форс-мажорных обстоятельствах (отключение электроэнергии, ремонтные работы и т.п.).
Производительность берется как минимальная, так и максимальная. Расходы на электроэнергию, воду, оплату труда работников и другие общепроизводственные и общехозяйственные расходы принимаются равными 30% валовой выручки.
Цена сырья - 100 руб. за 1 куб.м. Для получения тонны топливных гранул требуется 7,5 кубометра опилок. Стоимость готовых пеллет - от 3800 до 4200 руб. за тонну (первый сорт) или от 3000 до 3500 руб. за тонну (промышленные).

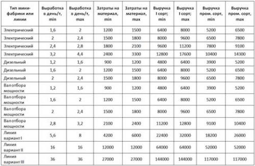
Таблица, приведенная ниже, иллюстрирует затраты на материалы и выручку от продажи готовой продукции в зависимости от типа мини-фабрики или производственной линии. В качестве цены готовой продукции взяты средние арифметические от приведенных выше цен, т.е. 4000 руб. за 1 т пеллет первого сорта; 3250 руб. за 1 т пеллет промышленных. Затраты рассчитываются из нормы в 7,5 куб. м исходного материала на 1 тонну готовой продукции. Все финансовые показатели даны в рублях.
(картинка кликабельна)
Следующая таблица показывает зависимость валовой прибыли, чистой прибыли и срок окупаемости оборудования. При вычислениях использовались следующие величины: валовая прибыль = дневной выручке, умноженной на количество рабочих дней в месяце (24 дня). В статистических целях учитывается усредненная между минимальной и максимальной прибыль, т.е. как было бы, если бы мини-завод или производственная линия производил 50% пеллет 1 сорта и 50% - промышленных. Аналогично рассчитаны расходы на материал.
Чистая прибыль равна разнице между валовой прибылью и суммой расходов на материалы и оплату электроэнергии, воды, труда работников и другие общепроизводственные и общехозяйственные расходы, принятые за 30% от валовой прибыли. Окупаемость рассчитана как частное от рублевой цены мини-фабрики или производственной линии и чистой прибыли.
(картинка кликабельна)
Согласно всем вышеприведенным таблицам можно увидеть, что наиболее выгодными в плане окупаемости являются электрические мини-фабрики и мини-фабрики с приводом от вала отбора мощности трактора.
Наименее же выгодной является производственная линия с выработкой от 700 до 1000 кг пеллет в час - она будет окупаться более, чем год. Дизельные мини-фабрики возможно использовать разве что при необходимости мобильного производства и в условиях отсутствия трактора.
Хотя длительная окупаемость "больших" производственных линий объясняется большей основательностью и прочностью. Она рассчитаны на длительное (до 10 лет) пользование и большие объемы производства. Кроме того, следует учитывать и тот факт, что окупившись за 8-13 месяцев, фабрика будет приносить доход, явно не сопоставимый с доходом от мини-гранулятора любого типа.